Ответы
Ответ дал:
0
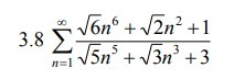
ряд расходится,т.к. предел устремляется в бесконечность
Приложения:

Вас заинтересует
2 года назад
2 года назад
3 года назад
3 года назад
9 лет назад