Ответы
Ответ дал:
0
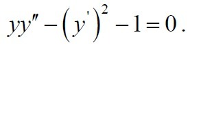
Это дифференциальное уравнение второго порядка, независящее явным образом от неизвестной переменной х. Данное уравнение имеет вид
.
Вводим новую функцию
Положим
, тогда 
В результате имеем, что
- уравнение с разделяющимися переменными
Проинтегрируем обе части последнее равенство , получим

Тогда, выполнив обратную замену, получим

Интегрируя получим
- общий интеграл
Вводим новую функцию
В результате имеем, что
Тогда, выполнив обратную замену, получим
Интегрируя получим
Вас заинтересует
2 года назад
3 года назад
3 года назад