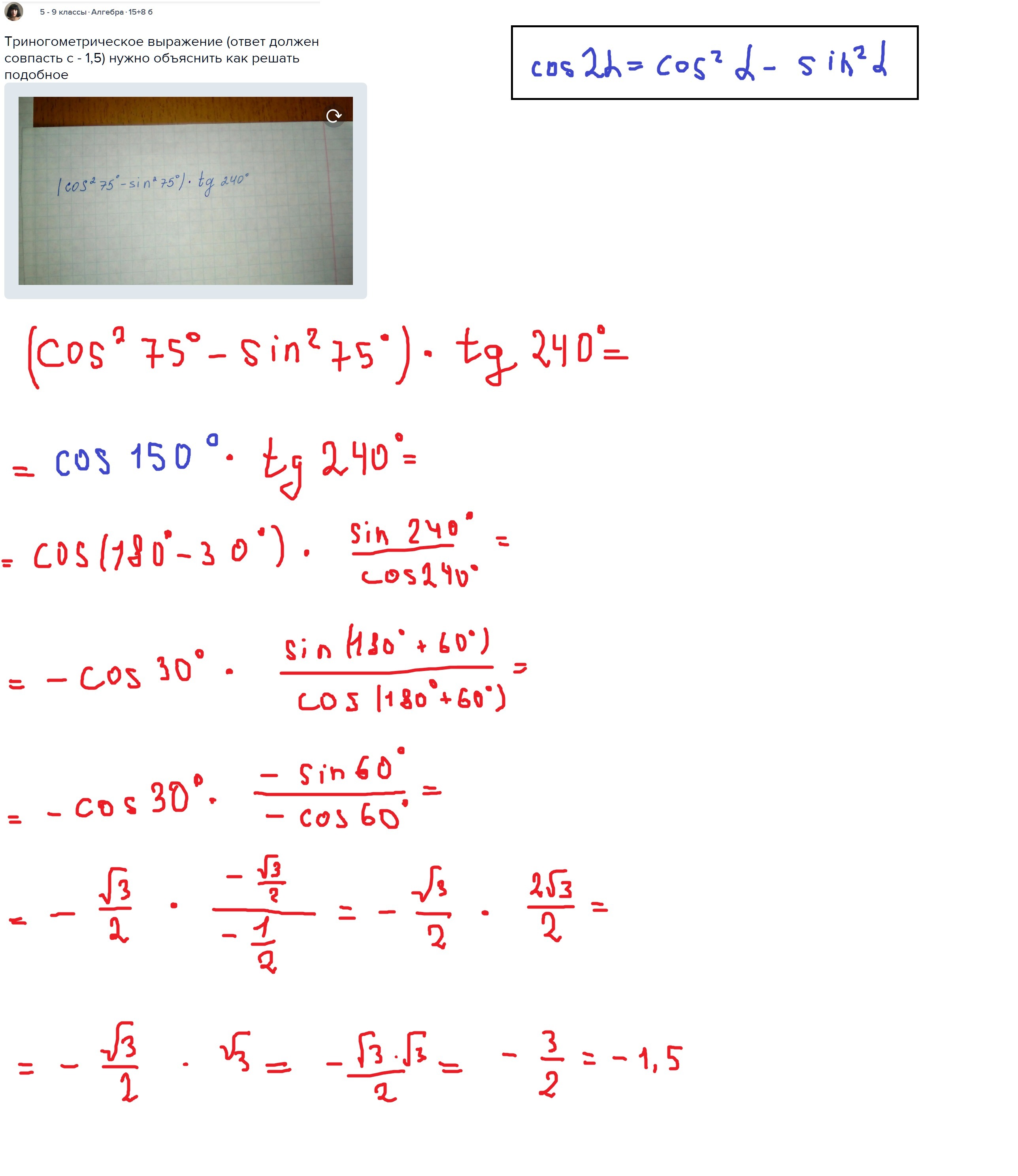
триногометрическое выражение (ответ должен совпасть с - 1,5) нужно объяснить как решать подобное
Приложения:

Ответы
Ответ дал:
0
Готово! Подробное решение:
Приложения:

Ответ дал:
0
спасибо! выручили
Ответ дал:
0
Пожалуйста. Я использовал формулу двойного угла косинуса и формулы приведения.
Ответ дал:
0
Это правильно, что ты ответ написала, хоть сверить можно
Приложения:

Ответ дал:
0
Спасибо! В вашем ответе даже по проще)
Вас заинтересует
2 года назад
2 года назад
3 года назад
9 лет назад
9 лет назад