• Предмет: Геометрия
  • Автор: Margocha1939
  • Вопрос задан 11 лет назад

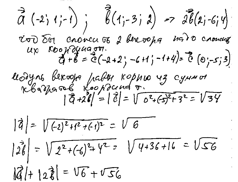
Даны два вектора a( -2;1;-1) и b(1;-3;2).Найдите |a+2b| и |a|+|2b|

Ответы

Ответ дал: ужнеужели
0
Даны два вектора a( -2;1;-1) и b(1;-3;2).Найдите |a+2b| и |a|+|2b|
Приложения:
Вас заинтересует