• Предмет: Алгебра
  • Автор: Znatokylynet
  • Вопрос задан 8 лет назад

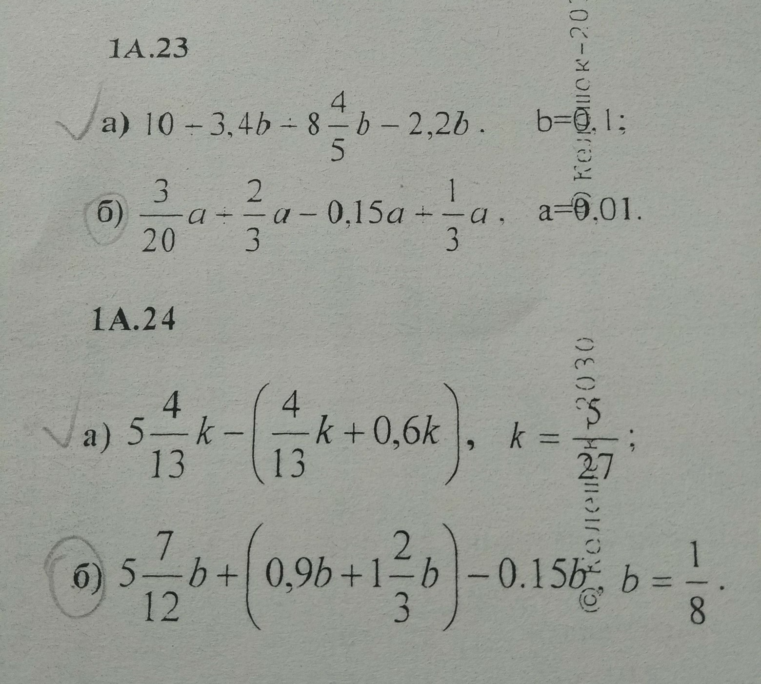
решите пожалуйста,срочно,на заранее спасибо
п.с.: только а) варианты

Приложения:

Ответы

Ответ дал: Koteileleyy
0
=10-3,4b-8 4/8b-2.2b=10-5.6d-44/5d=10-5.6d-8.8d=10-14.4d=10-14.4*0.1=10-1.44=8.56
Ответ дал: Koteileleyy
0
затем сокращаешь и получаешь 22/27 понял
Ответ дал: Znatokylynet
0
спасибо
Ответ дал: Znatokylynet
0
все правильно
Ответ дал: Koteileleyy
0
удачи
Ответ дал: Znatokylynet
0
спасибо))
Вас заинтересует