• Предмет: Математика
  • Автор: raminmamedov23
  • Вопрос задан 9 лет назад

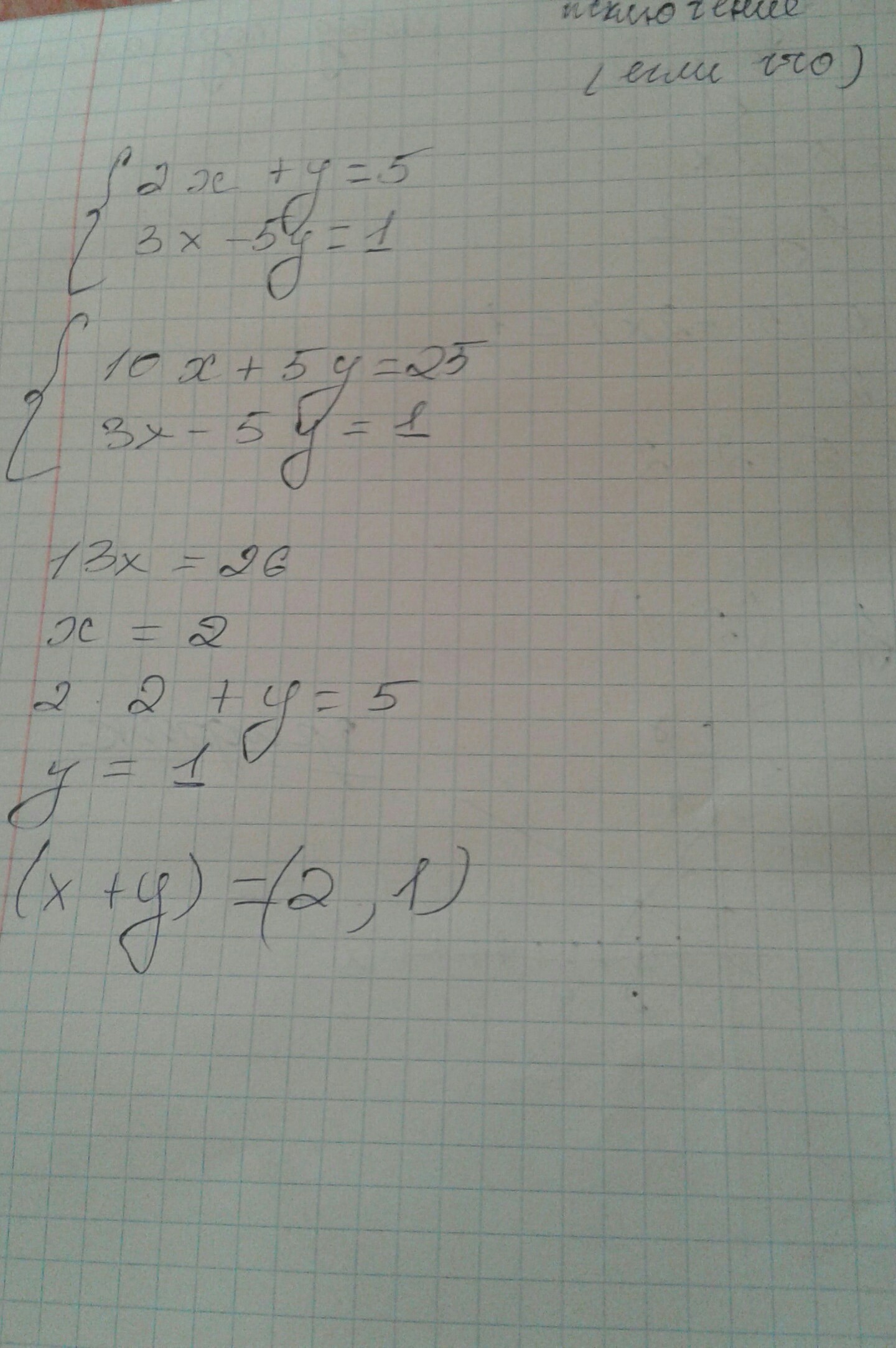
Решите уравнение {2х+у=5 3х-5у=1 Тремя способами 1) Графическим 2)Подстановки 3) Сложение

Ответы

Ответ дал: MinaNima
0
Решала сама. Отметь как "Лучший ответ". Буду благодарна .)))
Приложения:
Вас заинтересует