• Предмет: Алгебра
  • Автор: Lessi888
  • Вопрос задан 8 лет назад

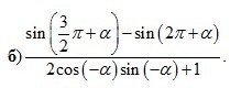
СРОЧНО, спасибо большое заранее.

Приложения:

Ответа на этот вопрос пока нет. Попробуйте найти его через форму поиска.

Вас заинтересует