Ответы
Ответ дал:
0
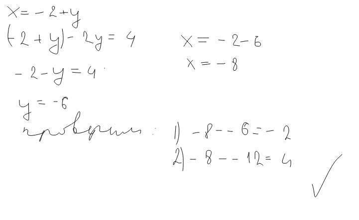
вот я только не поняла в смысле методом подбора, вот уравнением выразим сначала х из 1 уравнения и подставив его во второе
Приложения:

Вас заинтересует
3 года назад
9 лет назад
9 лет назад
9 лет назад