• Предмет: Алгебра
  • Автор: gulzhanat06030p7sscv
  • Вопрос задан 8 лет назад

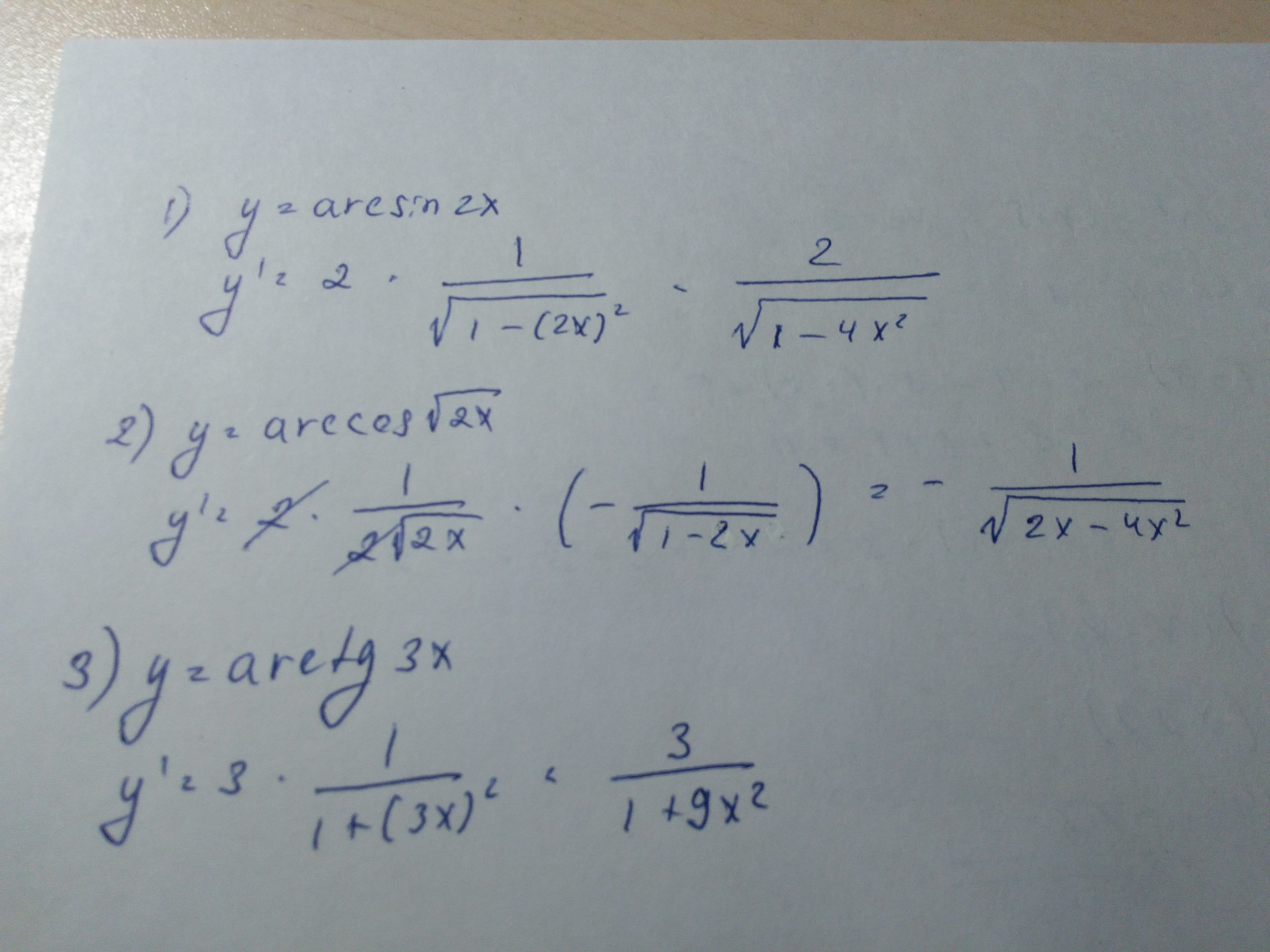
Как найти производную1) у=arcsin 2 x
2)y=arccos корень из2
3) y=arctg3x

Ответы

Ответ дал: NeZeRAvix
0
Все по формулам производных основных элементарных функций + формуле производной сложной функции.
Приложения:
Вас заинтересует