• Предмет: Алгебра
  • Автор: LayDSiriuS
  • Вопрос задан 8 лет назад

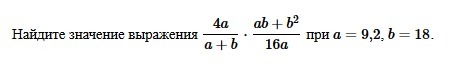
Найдите значение выражения

Приложения:

Ответы

Ответ дал: pantera01092
0
Смотри решение на фото
Приложения:
Ответ дал: arinakotikmep7tdxy
0
4а / а + b × ab + b^2 / 16а = b / 4

При а = 9,2, b = 18
18 / 4 = 9 / 2 = 4,5
Приложения:
Вас заинтересует