Ответы
Ответ дал:
0
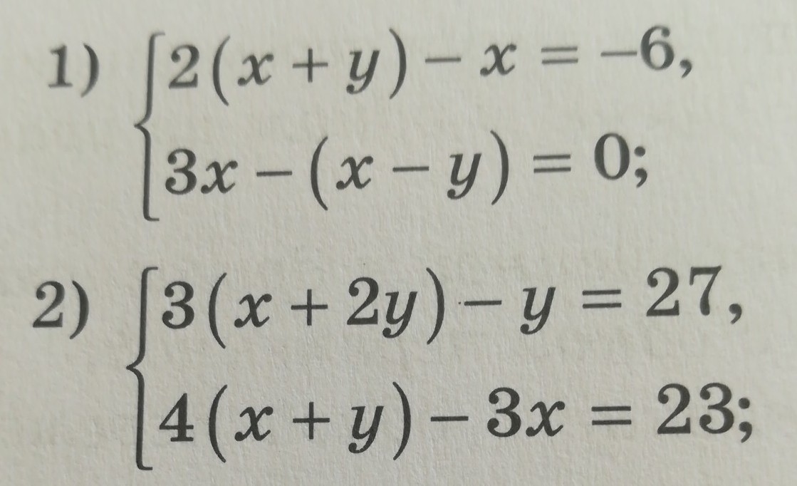
1)
{х+2у=-6 |*2
{2х+у=0
{2х+4у=-12
{2х+у=0
––––––––
у=-4
х=2
2)
{3х+у=27|*4
{х+4у=23
{12х+4у=108
{х+4у=23
––––––––
11х=85
х=85/11
у=42/11
{х+2у=-6 |*2
{2х+у=0
{2х+4у=-12
{2х+у=0
––––––––
у=-4
х=2
2)
{3х+у=27|*4
{х+4у=23
{12х+4у=108
{х+4у=23
––––––––
11х=85
х=85/11
у=42/11
Вас заинтересует
2 года назад
2 года назад
3 года назад
3 года назад
9 лет назад
10 лет назад