• Предмет: Математика
  • Автор: NesteaAnasteysha
  • Вопрос задан 8 лет назад

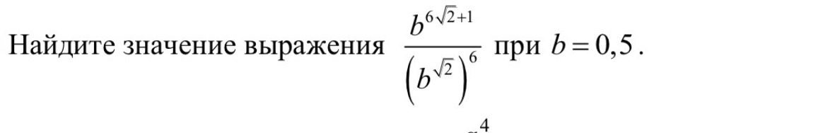
СРОЧНО ПОМОГИТЕ, пожалуйста. ТУТ ЛЕГКО

Приложения:

Ответы

Ответ дал: vilca01
0
0000000000000000000000000000000000000000000000000000
Приложения:
Вас заинтересует