Ответы
Ответ дал:
0
Вроде так)))
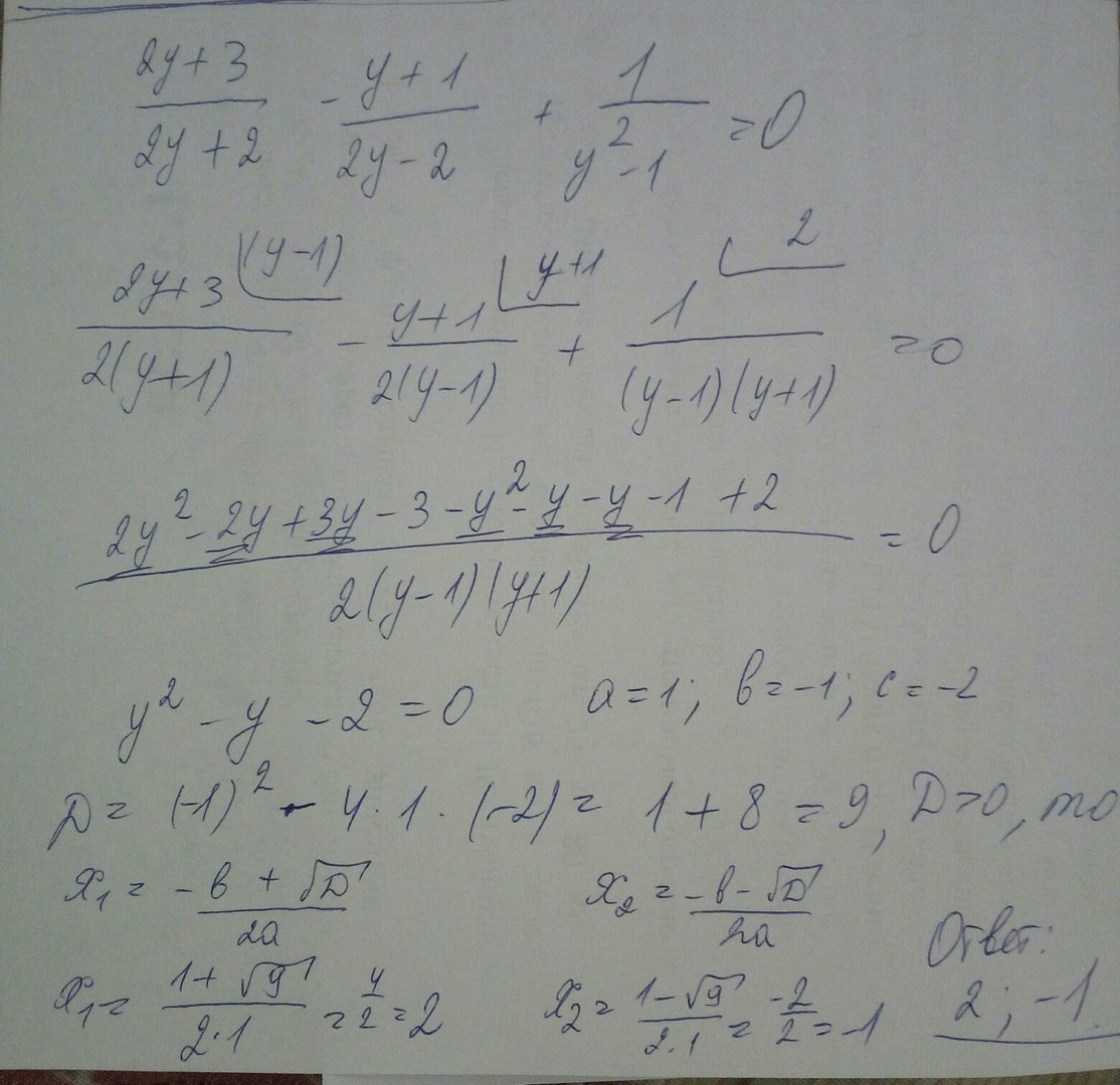
Надеюсь, поймешь почерк)))
Надеюсь, поймешь почерк)))
Приложения:

Вас заинтересует
2 года назад
2 года назад
3 года назад
3 года назад
9 лет назад
9 лет назад
9 лет назад