• Предмет: Математика
  • Автор: karinaa06
  • Вопрос задан 8 лет назад

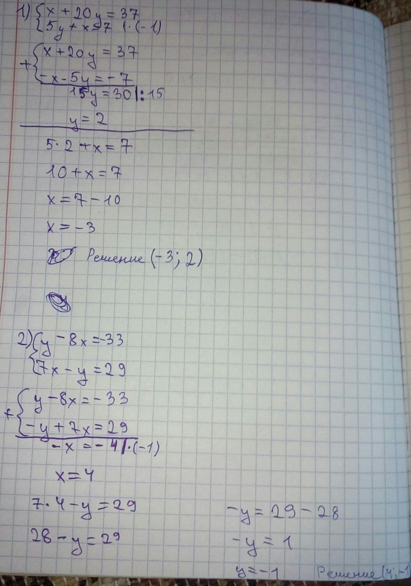
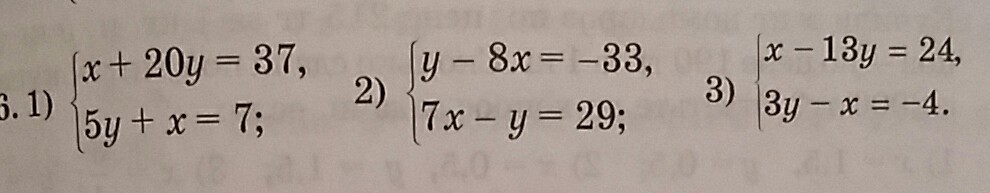
ПОМОГИТЕ пожалуйста. РЕШИТЕ ГРАФИЧЕСКИ СИСТЕМЫ УРАВНЕНИЙ

Приложения:

Ответы

Ответ дал: Nikosh5
0
вот это ответ это правильно
Приложения:
Ответ дал: Raho1
0
молодец
Вас заинтересует