• Предмет: Физика
  • Автор: larisaorlova65
  • Вопрос задан 8 лет назад

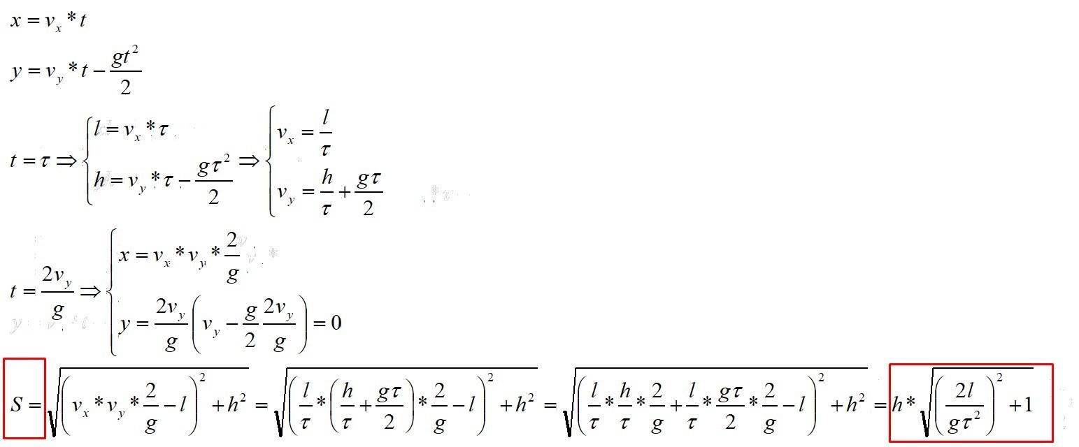
Через время τ после выстрела снаряд находился на высоте h и на расстоянии l по горизонтали от пушки. На каком расстоянии s от цели находился в этот момент снаряд? Цель расположена в плоскости стрельбы.

Ответы

Ответ дал: IUV
0
смотри решение во вложении 
Приложения:
Ответ дал: larisaorlova65
0
Спасибо!!!
Вас заинтересует