Ответы
Ответ дал:
0
решение в приложении ниже
Приложения:
Ответ дал:
0
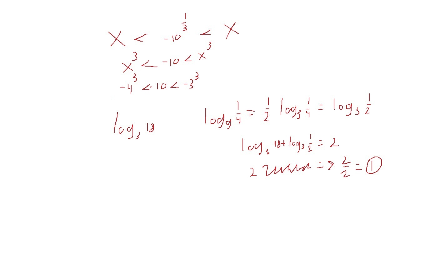
1.
![2^3 = 8, , , 3^3 = 27, , , sqrt[3]{-8} = -2, , , sqrt[3]{-27}=-3 Rightarrow -3 textless sqrt[3]{-10} textless -2. 2^3 = 8, , , 3^3 = 27, , , sqrt[3]{-8} = -2, , , sqrt[3]{-27}=-3 Rightarrow -3 textless sqrt[3]{-10} textless -2.](https://tex.z-dn.net/?f=2%5E3+%3D+8%2C+%2C+%2C+3%5E3+%3D+27%2C+%2C+%2C+sqrt%5B3%5D%7B-8%7D+%3D+-2%2C+%2C+%2C+sqrt%5B3%5D%7B-27%7D%3D-3+Rightarrow+-3++textless+++sqrt%5B3%5D%7B-10%7D++textless+++-2.)
2.

2.
Приложения:
Вас заинтересует
2 года назад
2 года назад
3 года назад
3 года назад
9 лет назад
9 лет назад
10 лет назад