• Предмет: Алгебра
  • Автор: maksimgur24
  • Вопрос задан 8 лет назад

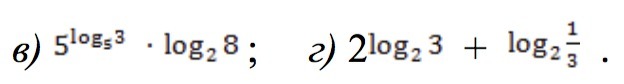
ПОМОГИТЕ СРОЧНО НАДО РЕШИТЬ !!!!!

С ПОДРОБНЫМ РЕШЕНИЕМ

Приложения:

Ответа на этот вопрос пока нет. Попробуйте найти его через форму поиска.

Вас заинтересует