Ответы
Ответ дал:
0
x+2y=1 x=1-2y
x^2-xy-2y^2=1 x^2-xy-2y^2=1
(1-2y)^2-(1-2y)y-2y^2-1=0
1-4y+4y^2-y-2y^2-2y^2-1=0
1-4y-y-1=0
-5y=0
y=0 ,x=1
x^2-xy-2y^2=1 x^2-xy-2y^2=1
(1-2y)^2-(1-2y)y-2y^2-1=0
1-4y+4y^2-y-2y^2-2y^2-1=0
1-4y-y-1=0
-5y=0
y=0 ,x=1
Ответ дал:
0
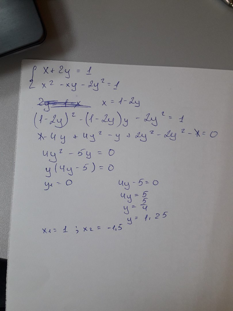
решение примера во вложение
Приложения:

Вас заинтересует
2 года назад
2 года назад
3 года назад
3 года назад
9 лет назад
9 лет назад
9 лет назад