• Предмет: Алгебра
  • Автор: 99masen
  • Вопрос задан 8 лет назад

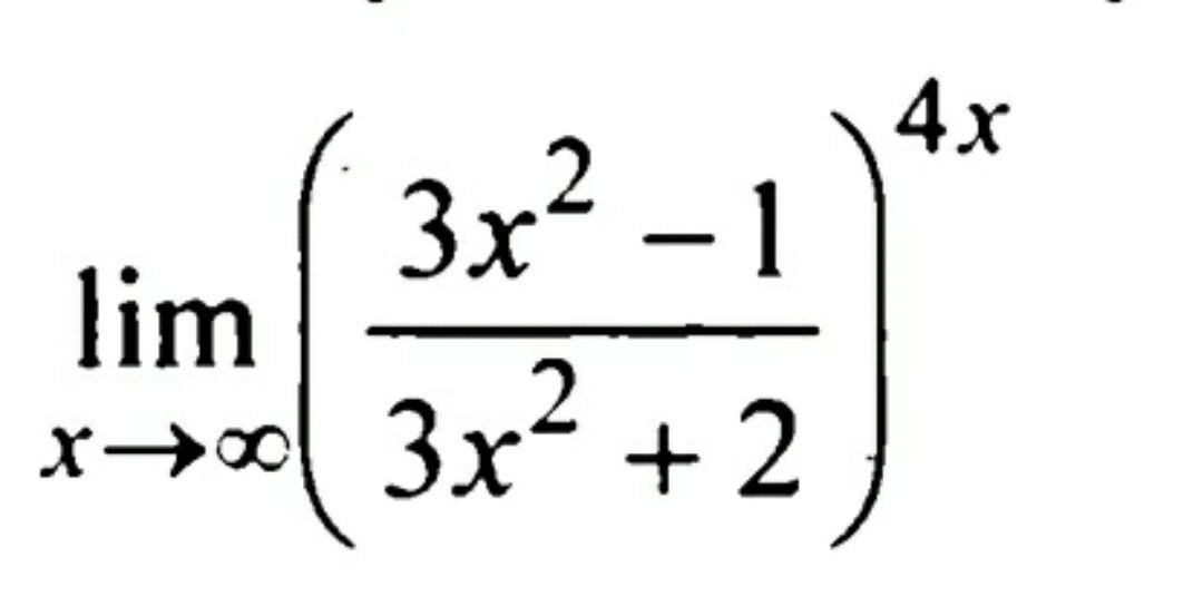
Пожалуйста, помогите вычислить предел

Приложения:

Ответы

Ответ дал: dat310nn
0
Окончательный ответ выражения будет равен 1
Приложения:
Ответ дал: 99masen
0
А можно решение?
Ответ дал: dat310nn
0
Окей,щас.
Ответ дал: dat310nn
0
Устроит?
Вас заинтересует