Ответы
Ответ дал:
0
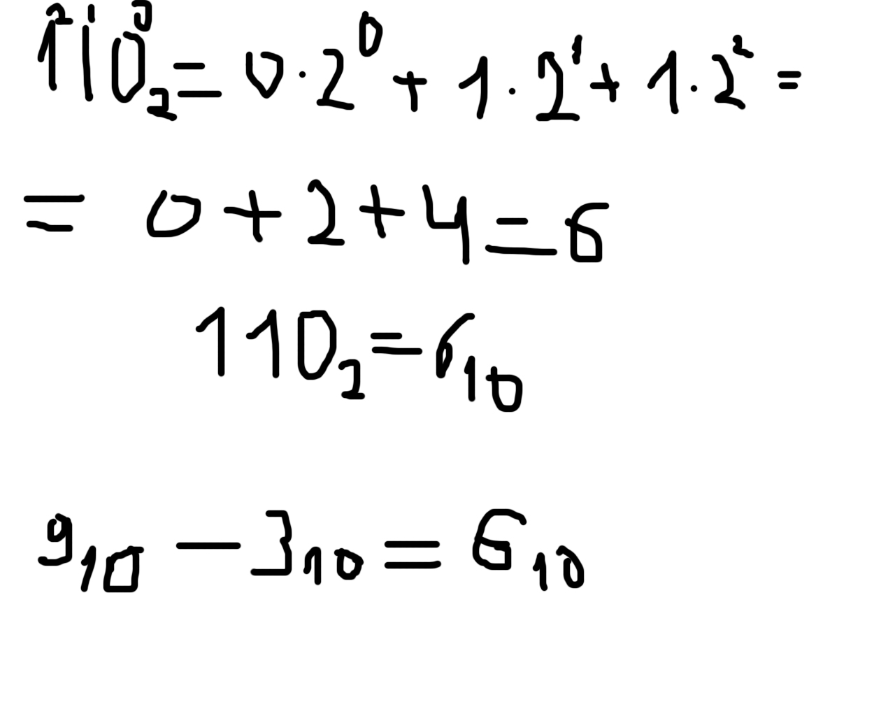
1001+
0011=
1100 вот это будет ответ!
0011=
1100 вот это будет ответ!
Ответ дал:
0
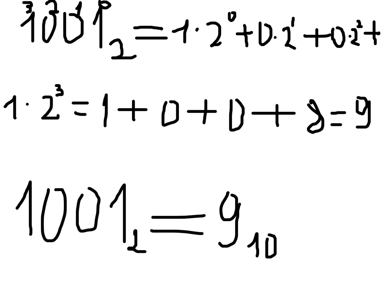
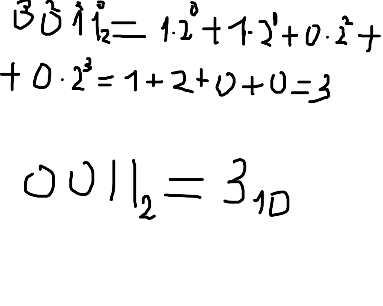
Сначала находим разность 1001(2) и 0011(2).Далее переводим их все числа из двоичной в десятичную систему.
Приложения:




Вас заинтересует
2 года назад
2 года назад
8 лет назад
10 лет назад
10 лет назад
10 лет назад