Ответы
Ответ дал:
0
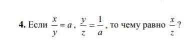
1. Выразил у из 1 выражения. Получим у=х/а
2. Поставим это выражение во 2
х/(аz) =1/a
3.Домножаем обе части уравнения на а.
Получаем ответ: х/z=1
2. Поставим это выражение во 2
х/(аz) =1/a
3.Домножаем обе части уравнения на а.
Получаем ответ: х/z=1
Вас заинтересует
3 года назад
3 года назад
9 лет назад
10 лет назад