• Предмет: Алгебра
  • Автор: kassinrus
  • Вопрос задан 8 лет назад

Даю максимум баллов.

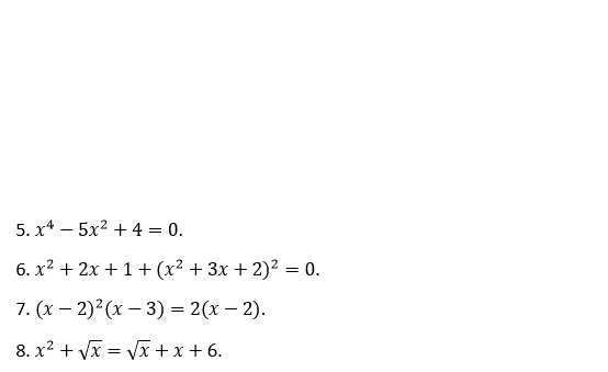
Приложения:

Ответа на этот вопрос пока нет. Попробуйте найти его через форму поиска.

Вас заинтересует