Ответы
Ответ дал:
0
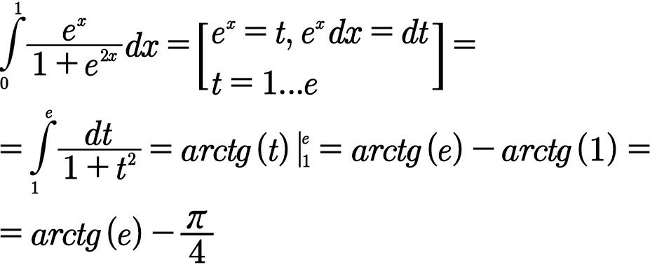
Решение на фотографии.
Приложения:

Ответ дал:
0
Приложения:

Вас заинтересует
2 года назад
3 года назад
9 лет назад
9 лет назад