• Предмет: Алгебра
  • Автор: Николинко478
  • Вопрос задан 8 лет назад

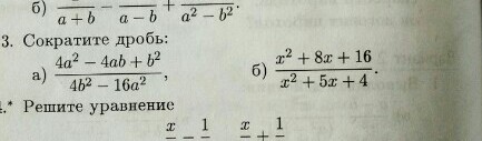
Помогите пожалуйста Я не понимаю как сократить дроби. номер 3 . сделайте пожалуйста.!

Приложения:

Ответы

Ответ дал: matika095
0
это фотографии решение
Приложения:
Ответ дал: Николинко478
0
спасибо огромное
Вас заинтересует