• Предмет: Алгебра
  • Автор: Вика132003
  • Вопрос задан 8 лет назад

Помогите с системой!!!!!

Приложения:

Ответы

Ответ дал: Ботаник001
0
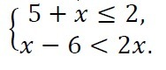
5+х<=2
х-6<2х

х<= 2-5
х<= -3

х> -6

Ответ: х€ { -3; -6}
Ответ дал: Вика132003
0
А скобки обе круглые или (-6; -3]????
Ответ дал: Ботаник001
0
Они выгнутые
Ответ дал: Ботаник001
0
Не знаю как показать
Вас заинтересует