• Предмет: Алгебра
  • Автор: cherrytea
  • Вопрос задан 8 лет назад

Помогите пожалуйста 12 задание

Приложения:

Ответы

Ответ дал: akhunovaaliyap6akzm
0
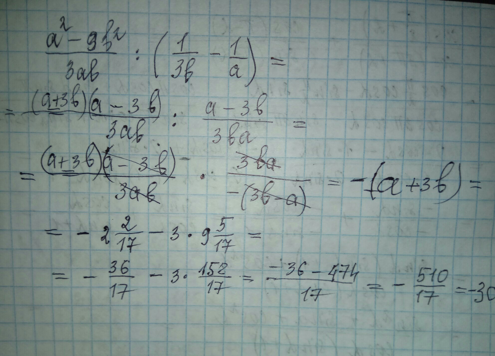
Ответ: -30. смотри фото в приложении
Приложения:
Ответ дал: cherrytea
0
Спасибо большое, очень помогли
Ответ дал: akhunovaaliyap6akzm
0
не за что!)
Вас заинтересует