• Предмет: Математика
  • Автор: mszsp2001
  • Вопрос задан 8 лет назад

с полным решением
Профильная математика

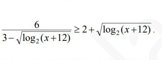
Приложения:

Ответа на этот вопрос пока нет. Попробуйте найти его через форму поиска.

Вас заинтересует