Ответы
Ответ дал:
0
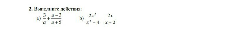
а) 3/а+а-3/а+5=3(а+5)+а(а-3)/а(а+5)=3а+15+а^2-3а/а^2+5а=15+а^2/а^2+5а
б)2х^2/х^2-4-2х/х+2=2х^2/(х-2)(х+2)-2х/х+2=2х^2-2х(х-2)/(х-2)(х+2)=2х^2-2х^2+4х/х^2-4=4х/х^2-4
б)2х^2/х^2-4-2х/х+2=2х^2/(х-2)(х+2)-2х/х+2=2х^2-2х(х-2)/(х-2)(х+2)=2х^2-2х^2+4х/х^2-4=4х/х^2-4
Ответ дал:
0
а) Приведем к общему знаменателю: домножим первую дробь на a + 5, вторую – на a: 
б) Заметим, что знаменатель первой дроби можно разложить по формуле сокращенного умножения: это (x - 2)(x + 2). Тогда домножим вторую дробь на x - 2, чтобы получить одинаковый знаменатель:
Ответ: а)
; б)
б) Заметим, что знаменатель первой дроби можно разложить по формуле сокращенного умножения: это (x - 2)(x + 2). Тогда домножим вторую дробь на x - 2, чтобы получить одинаковый знаменатель:
Ответ: а)
Вас заинтересует
2 года назад
2 года назад
3 года назад
9 лет назад
9 лет назад
10 лет назад