• Предмет: Математика
  • Автор: fred1pomogator
  • Вопрос задан 8 лет назад

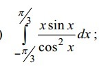
решите, пожалуйста, определенный интеграл

Приложения:

Ответы

Ответ дал: КапитанВсезнайка
0
Решение в приложении
Жесть конечно...
Приложения:
Вас заинтересует