• Предмет: Математика
  • Автор: itkylova03
  • Вопрос задан 8 лет назад

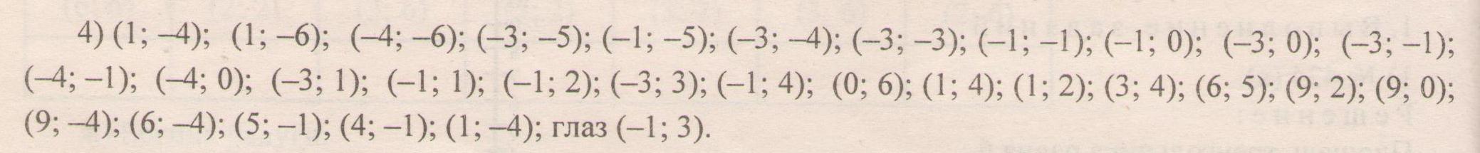
По координатам нужно составить рисунок. Помогите пожалуйста! Очень нужно!

Приложения:

Ответа на этот вопрос пока нет. Попробуйте найти его через форму поиска.

Вас заинтересует