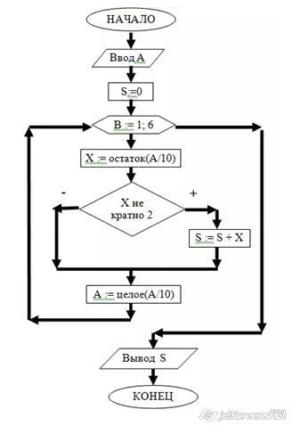
Сколько действий является телом цикла?

Приложения:

Ответы

Ответ дал: tad5985
0
если считать с условием то 4
без условия 3  
Ответ дал: hsr086p83t82
0
А если без если?
Вас заинтересует