• Предмет: Геометрия
  • Автор: Аноним
  • Вопрос задан 8 лет назад

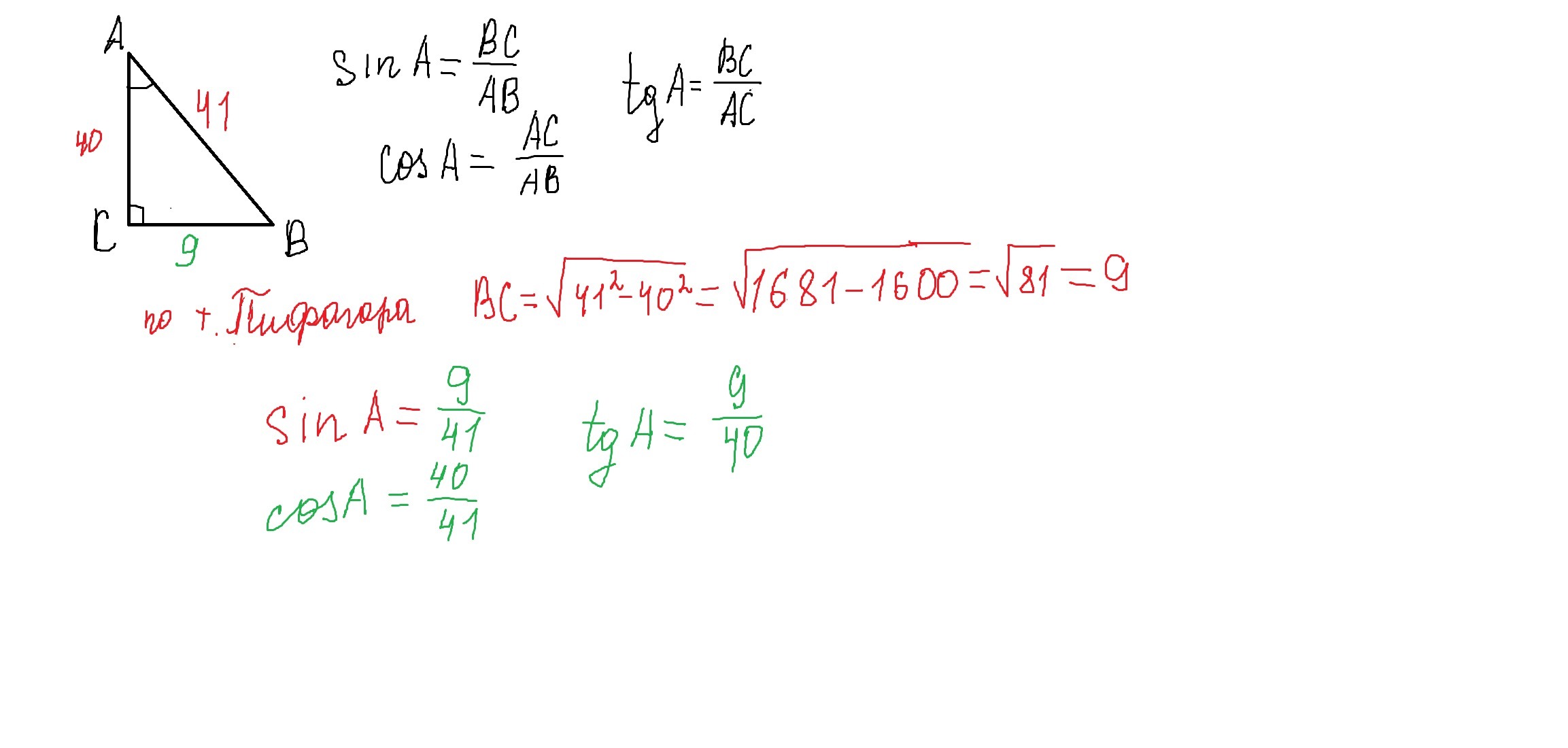
В прямоугольном треугольнике АВС ( катет АС =40 и гипотенуза АВ = 41. Найдите sin A, cosA, tgA.

Ответы

Ответ дал: parus77
0
смотри решение внизу
Приложения:
Вас заинтересует