Ответы
Ответ дал:
0
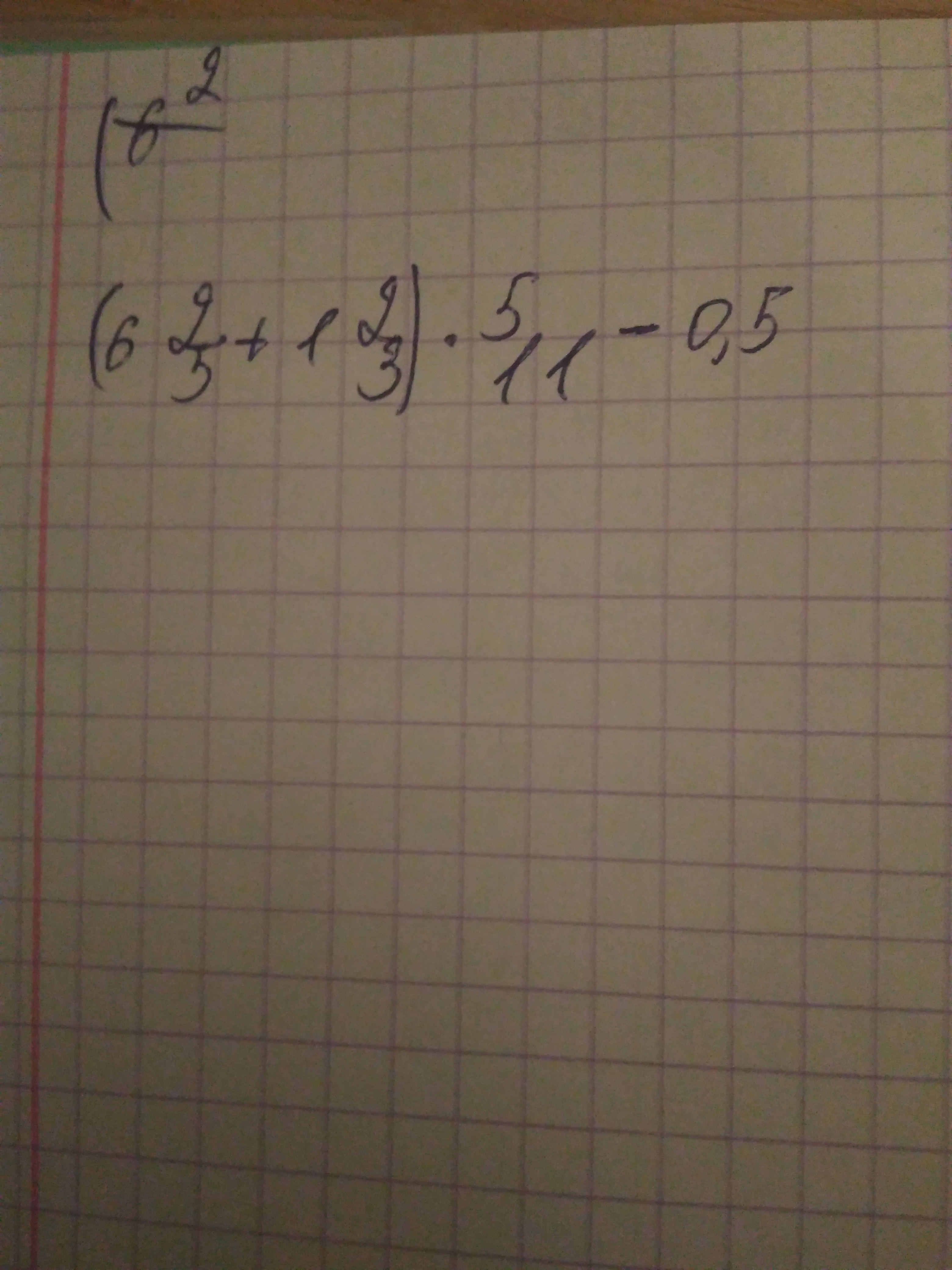
6 2/3+1 2/3=8 1/3
8 1/3*5/11=25/3*5/11=125/33
125/33-0,5=125/33-1/2=250/66-33/66=217/66=3 19/66
8 1/3*5/11=25/3*5/11=125/33
125/33-0,5=125/33-1/2=250/66-33/66=217/66=3 19/66
Вас заинтересует
2 года назад
2 года назад
3 года назад
9 лет назад
9 лет назад
10 лет назад
10 лет назад