• Предмет: Алгебра
  • Автор: Аноним
  • Вопрос задан 8 лет назад

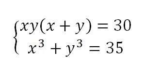
ДАЮ 35 БАЛЛОВ!!!!!!!!!!!! ОЧЕНЬ СРОЧНО!!!!!!!!!!!!!!!!!!!!!!!!!!! Решить систему!!!!!!!!!!!!!!

Приложения:

Ответа на этот вопрос пока нет. Попробуйте найти его через форму поиска.

Вас заинтересует