• Предмет: Математика
  • Автор: macsibodrov
  • Вопрос задан 8 лет назад

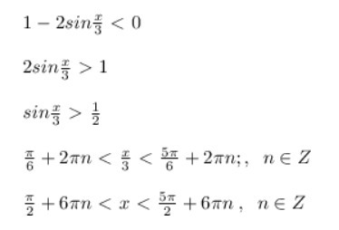
1-2sin(x/3) <0 Решите неравенство пожалуйста!

Ответы

Ответ дал: NNNLLL54
0
..........................................................................................................................
Приложения:
Вас заинтересует