• Предмет: Математика
  • Автор: zeta0rey0Dan
  • Вопрос задан 8 лет назад

Решите уравнения
А) 14+5x=4x+3x
Б)3а+5=8а-15
В)3,6+2x=5x+1,2
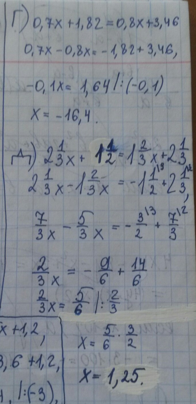
Г)0,7x+1,82=0,8x+3,46
Д)2 1/3x+1 1/2=1 2/3x+2 1/3
Е)1/2-1 3/5y=4 1/2-3y

Ответы

Ответ дал: ХЕЛИКОПТЕР
0
Вот решение на все. Удачи :)
Приложения:
Ответ дал: zeta0rey0Dan
0
Спасибо большое)))
Ответ дал: ХЕЛИКОПТЕР
0
не за что
Вас заинтересует