Ответы
Ответ дал:
0
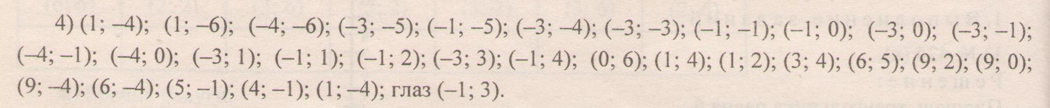
1;-4
1;-6
-4;-6
-3;-5
-1;-5
-3;-4
-3;-3
-1;-1
-1;0
-3;0
-3;-1
-4;-1
-4;0
-3;1
-1;1
-1;2
-3;3
-1;4
0;6
1;4
1;2
3;4
6;5
9;2
9;0
9;-4
6;-4
5;-1
4;-1
1;-4
1;-6
-4;-6
-3;-5
-1;-5
-3;-4
-3;-3
-1;-1
-1;0
-3;0
-3;-1
-4;-1
-4;0
-3;1
-1;1
-1;2
-3;3
-1;4
0;6
1;4
1;2
3;4
6;5
9;2
9;0
9;-4
6;-4
5;-1
4;-1
1;-4
Приложения:

Вас заинтересует
2 года назад
3 года назад
3 года назад
9 лет назад
9 лет назад