• Предмет: Математика
  • Автор: Smilethisgood
  • Вопрос задан 8 лет назад

А ТАК ЕСЛИ ??
Я НЕ ЗНАЮ КАК ЭТО РЕШАТЬ АААА

Приложения:

Ответы

Ответ дал: Evgenia4836
0
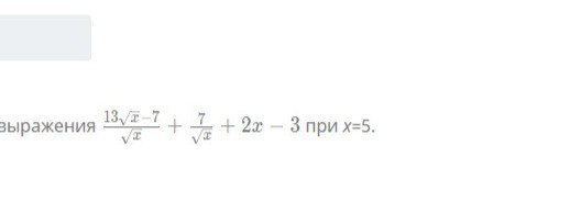
(13√x-7+7)/√x +2x-3= 13√x/√x +2x-3= 13+2x-3= 10+2x= 10+10= 20
Ответ дал: Smilethisgood
0
Да ) спасибо
Ответ дал: foxy80
0
Блиннннн я хотела это написать ;(
Ответ дал: Smilethisgood
0
:С пчалька
Вас заинтересует