• Предмет: Алгебра
  • Автор: neznaunichego2
  • Вопрос задан 8 лет назад

Срочно нужно!!!_____

Приложения:

Ответы

Ответ дал: ХЕЛИКОПТЕР
0
Вот решение. Удачи :)
Приложения:
Ответ дал: salnik1909p5sg3s
0
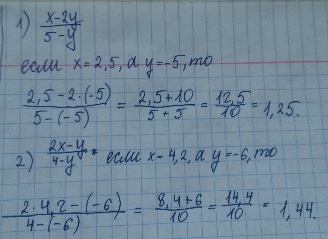
1) =(2,5-2(-5))/(5-(-5))=(2,5+10)/10=12,5/10=1,25
2) =(2*4,2-(-6))/(4-(-6))=(8,4+6)/10=14,4/10=1,44
Приложения:
Вас заинтересует