Ответы
Ответ дал:
0
Вот я тебе решила 23. 33. 34 всё на фото:))
Приложения:



Ответ дал:
0
Можешь пожалуйста объяснить, как из 2*8 в корне 4 степени и все в корни получилось корень 24 в 4 степени умножить на корень из 8 в 4 степени
Ответ дал:
0
Это не 24 а 4 степень корень 2 в 4 степени , это уже меня почерк такой , сейчас фото прикрепляю третье
Ответ дал:
0
А куда тогда ушла 2 ?
Ответ дал:
0
А это уже формулы при чем они из 7-8 класса на фото
Ответ дал:
0
Попыталась найти эту формулу, но ничего не подходит
Ответ дал:
0
Ответы:
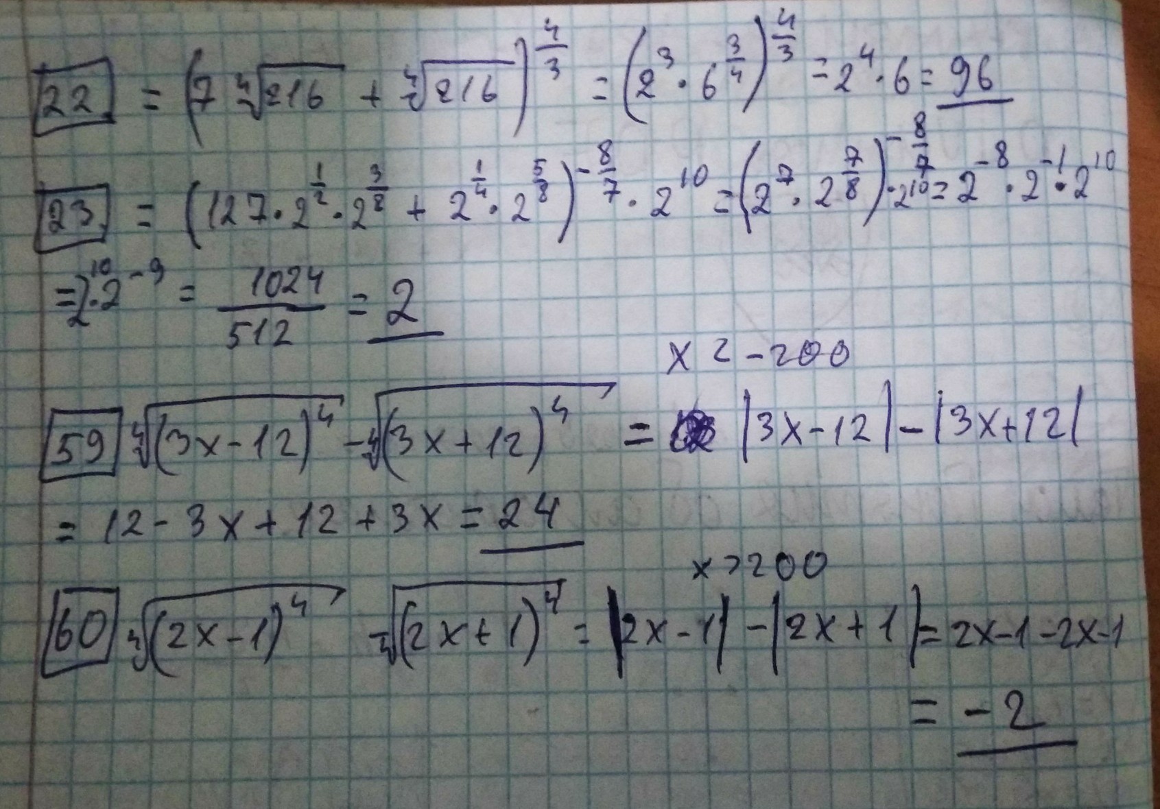
22. 96
23. 2
59. 24
60. -2
34. -2
33. -4
решил все задания. Ответы подчеркнул
22. 96
23. 2
59. 24
60. -2
34. -2
33. -4
решил все задания. Ответы подчеркнул
Приложения:


Ответ дал:
0
Спасибо)
Ответ дал:
0
Можешь пожалуйста объяснить, в самом начале как появилось 2 в 3/8 степени
Ответ дал:
0
((8)^1/4)^1/2 = ((2^3)^1/4)^1/2 = (2^3)^1/8 = 2^3/8
Ответ дал:
0
Сделаешь мой ответ лучшим?)
Вас заинтересует
2 года назад
2 года назад
3 года назад
3 года назад
9 лет назад