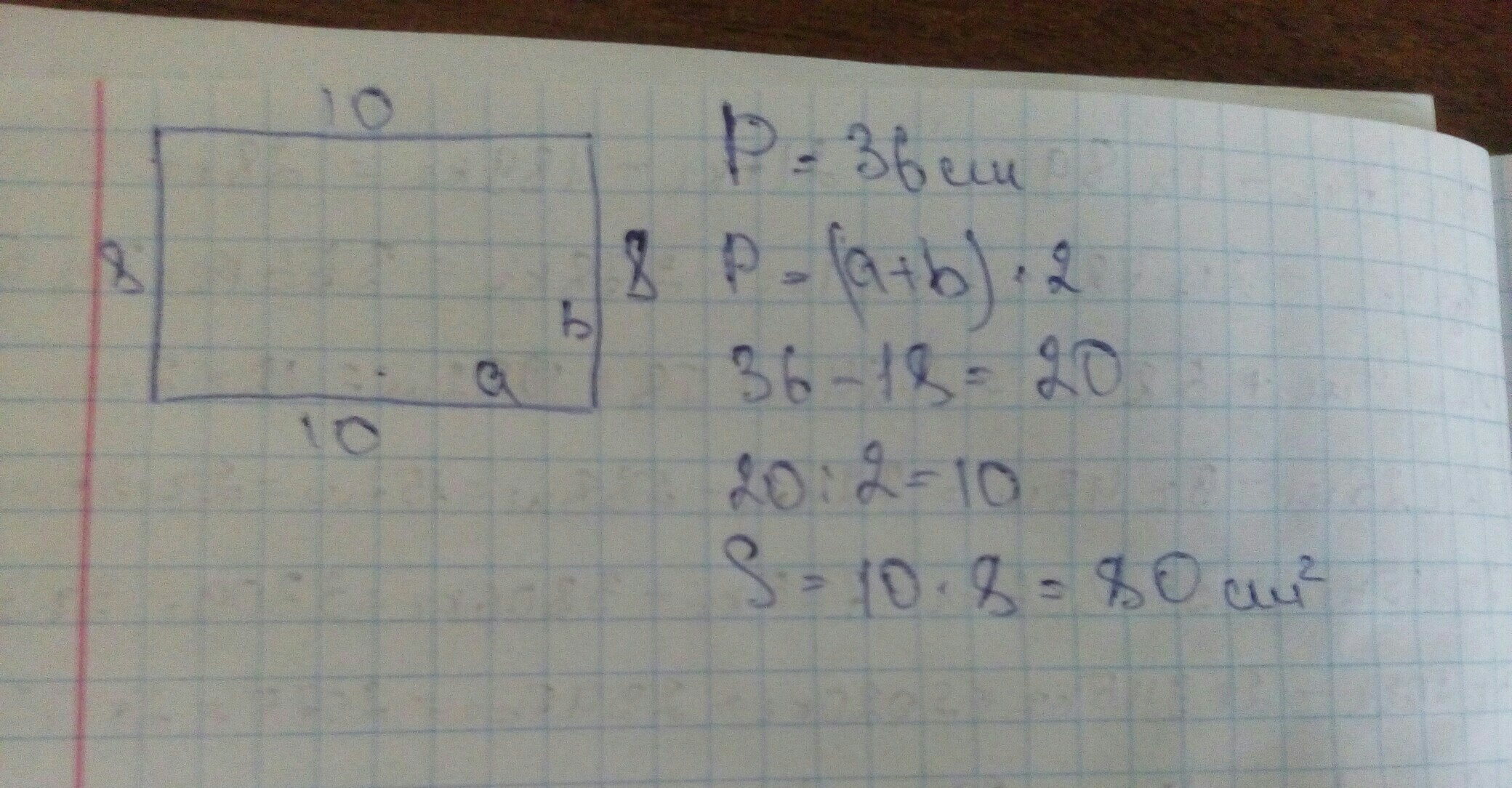
Периметр прямоугольника 36 см, длина одной из его сторон 8 см. Найди площадь прямоугольника.
СРОЧНО, 20 БАЛЛОВ!!!
Ответы
Ответ дал:
0
8*2=16
36-16=20
20/2=10
S=a*b
S=160
36-16=20
20/2=10
S=a*b
S=160
Ответ дал:
0
У меня не правильно чуть
Ответ дал:
0
Я 16*10
Ответ дал:
0
А надо половину
Ответ дал:
0
Что не понятно?
Ответ дал:
0
Всё понятно, спасибо.
Ответ дал:
0
ох запамятовала
S=a*b
S=a*b
Приложения:

Ответ дал:
0
Спасибо большое!!! Но мне надо с пояснениями
Вас заинтересует
2 года назад
9 лет назад
9 лет назад