Ответы
Ответ дал:
0
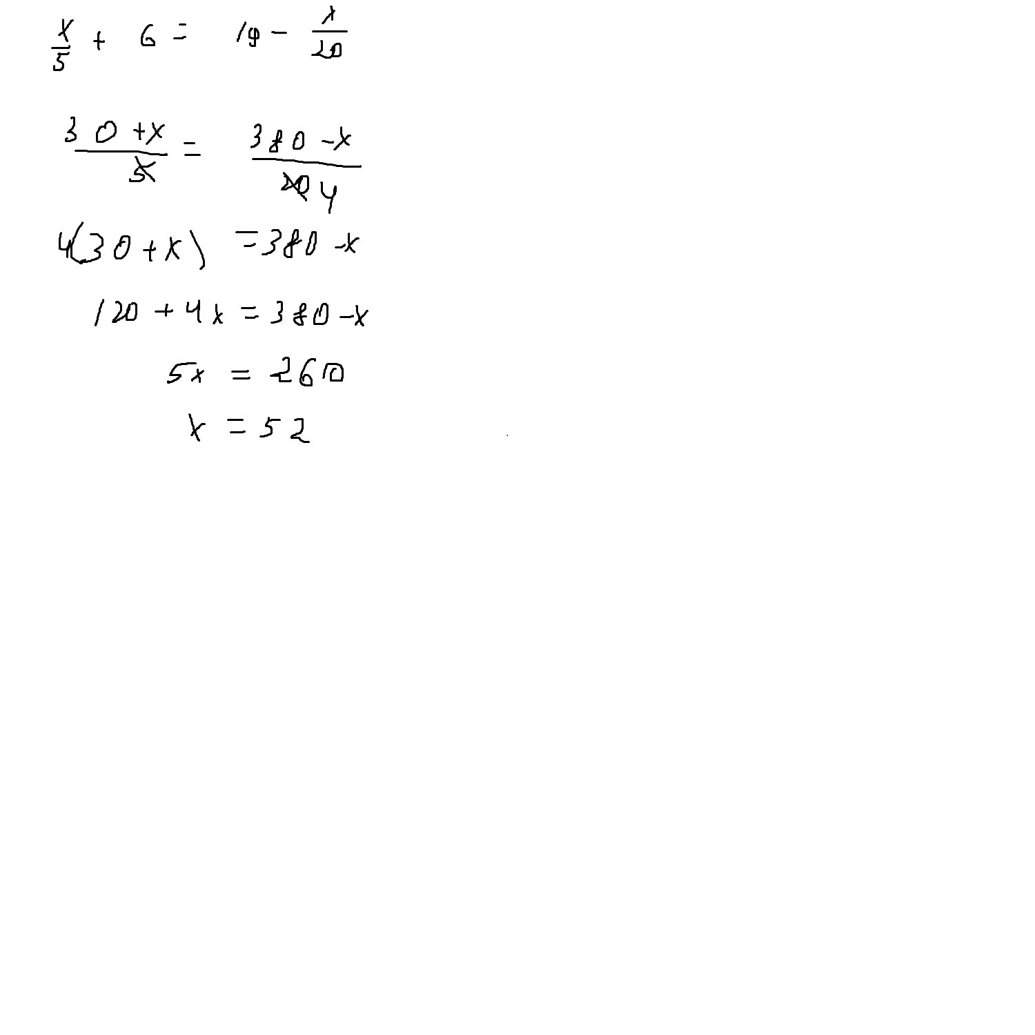
1/5х+1/20х=19-6
4/20х+1/20х=13
1/4х=13
Х=13:1/4=13*4
Х=52
4/20х+1/20х=13
1/4х=13
Х=13:1/4=13*4
Х=52
Ответ дал:
0
Вот полный ответ
В конце только ещё
Ответ : 1/52
В конце только ещё
Ответ : 1/52
Ответ дал:
0
5ц
Ответ дал:
0
Не 1/52,а 52
Ответ дал:
0
О нет! Что-то пошло не так во время добавления ответа
Ответ не может быть пустым
Ответ не может быть пустым
Приложения:

Ответ дал:
0
Вот полный ответ
В конце только ещё
Ответ : 1/52
В конце только ещё
Ответ : 1/52
Вас заинтересует
2 года назад
2 года назад
3 года назад
9 лет назад
9 лет назад
9 лет назад