• Предмет: Математика
  • Автор: MrVolk41
  • Вопрос задан 8 лет назад

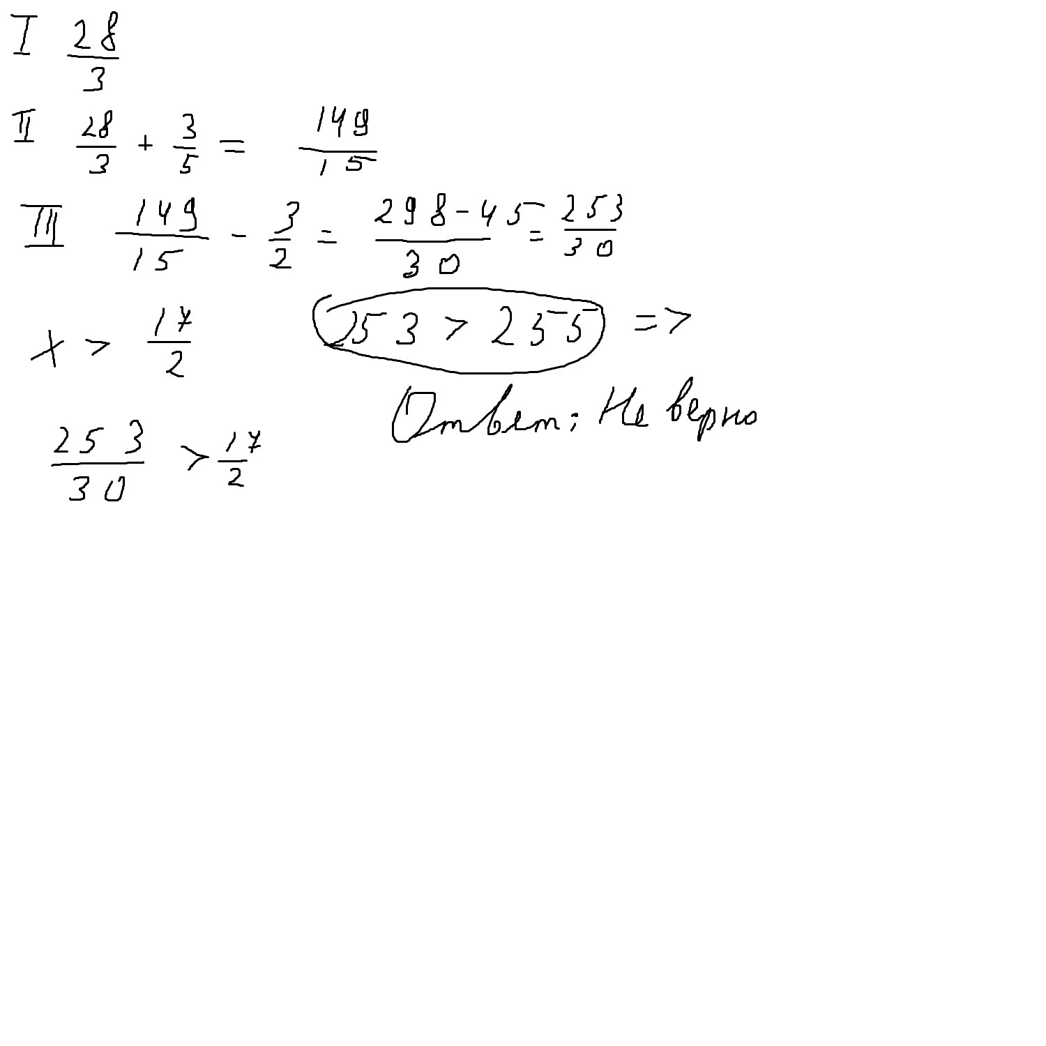
помогите с задачей !

Приложения:

Ответы

Ответ дал: Делба
0
О нет! Что-то пошло не так во время добавления ответа
Ответ не может быть пустым
Приложения:
Вас заинтересует