Срочно, выручайте!
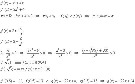
1)Найдите для функции y=x^3+4x
a)промежутки возрастания и убывания.
б)точки максимума и минимума.
2)Найдите наибольшее и наименьшее значение функции f(x)=2x+6/x на промежутке [1;4]
3)Напишите уравнение касательной к графику функции f(x)=2x+6x в точке с абсциссой Xo=0,5
Ответы
Ответ дал:
0
Задачку №2 недосмотрел и решил на области [-1,4]. Для [1,4] минимум уже найден и достаточно просто проверить значение функции по краям на предмет максимума. За счёт того, что на областях [1,
] и [
,4] f(x) монотонна - для первой области f(1) max, для второй - f(4).
В №3, как я понял, касательную нужно провести для функции из №2...
В №3, как я понял, касательную нужно провести для функции из №2...
Приложения:

Вас заинтересует
2 года назад
2 года назад
8 лет назад
8 лет назад
10 лет назад
10 лет назад