• Предмет: Математика
  • Автор: юлианна50
  • Вопрос задан 8 лет назад

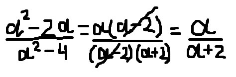
помогите пж нужно сократить дробь

Приложения:

Ответы

Ответ дал: Аноним
0
//////////////////////////
Приложения:
Ответ дал: ArtemKa233
0
что
Ответ дал: ArtemKa233
0
а спс
Вас заинтересует