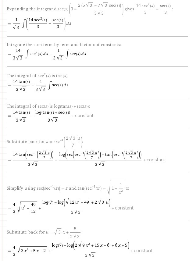
Прошу помочь с примером,не могу понять в чем ошибка.Тема:интегрирование функций содержащий квадратный трехчлен
Приложения:

Ответы
Ответ дал:
0
.............................................
Приложения:



Ответ дал:
0
я не совсем понимаю,откуда коэф 1/2
Ответ дал:
0
"и вторая когда берешь интеграл от выражения, выделенного кругом красного цвета, куда делся коэффициент 1/2, который получается при интегрировании?" .
Ответ дал:
0
интеграл t^(-1/2)dt=t^(1/2)/(1/2)- где последнее деление на 1/2( или умножение на 2) я не нашла
Ответ дал:
0
какой коэффициент перед интегралом до этого был-такой и остался
Ответ дал:
0
Спасибо вам)
Вас заинтересует
2 года назад
3 года назад
9 лет назад
9 лет назад
9 лет назад