ПОМОГИТЕ!!!
Известно, что у=f(х) - возрастающая функция и а - некоторое число. Доказать, что уравнение f(х)=а имеет не более одного корня
Ответы
Ответ дал:
0
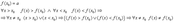
Вкратце - допускаем, что существует какой-то Х для которого f(x)=a. Из определения монотонности функции приходим к тому, что все значения для Х справа будут больше, а значения слева - меньше. Формальное доказательство - в приложении.
Можно так-же доказать от противного: предположить что есть два Х, значение которых а, и из определения монотонности получить противоречие, что доказывает ложность изначального противоречия.
Можно так-же доказать от противного: предположить что есть два Х, значение которых а, и из определения монотонности получить противоречие, что доказывает ложность изначального противоречия.
Приложения:

Вас заинтересует
2 года назад
8 лет назад
8 лет назад
10 лет назад
10 лет назад
10 лет назад