• Предмет: Алгебра
  • Автор: Читающаю
  • Вопрос задан 8 лет назад

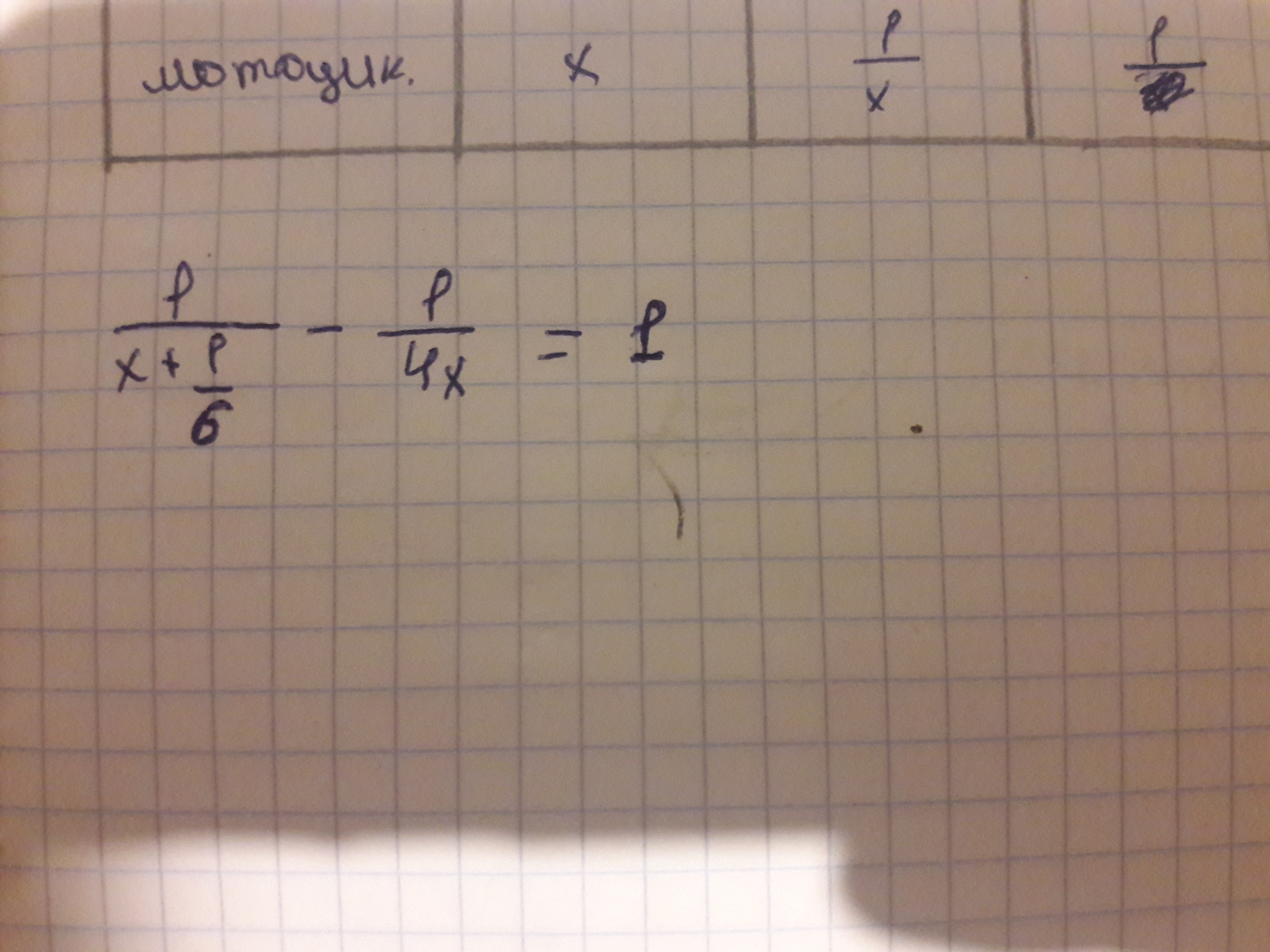
Помогите пожалуйста с алгеброй. Решите уравнение

Приложения:

Ответы

Ответ дал: 21ВопроС12
0
 frac{1}{x+ frac{1}{6} } - frac{1}{4x}=1 ___ОДЗ: x neq 0 и
x neq - frac{1}{6}

4x-x- frac{1}{6}=4x(x+ frac{1}{6})
3x- frac{1}{6}=4 x^{2} + frac{4}{6} x
4 x^{2} - frac{7}{3}x+ frac{1}{6}=0|*6
24 x^{2} -14x+1=0
24 x^{2} -2x-12x+1=2x(12x-1)-(12x-1)=(12x-1)(2x-1)
 x_{1} =  frac{1}{12}
 x_{2}= frac{1}{2}
Вас заинтересует