Ответы
Ответ дал:
0
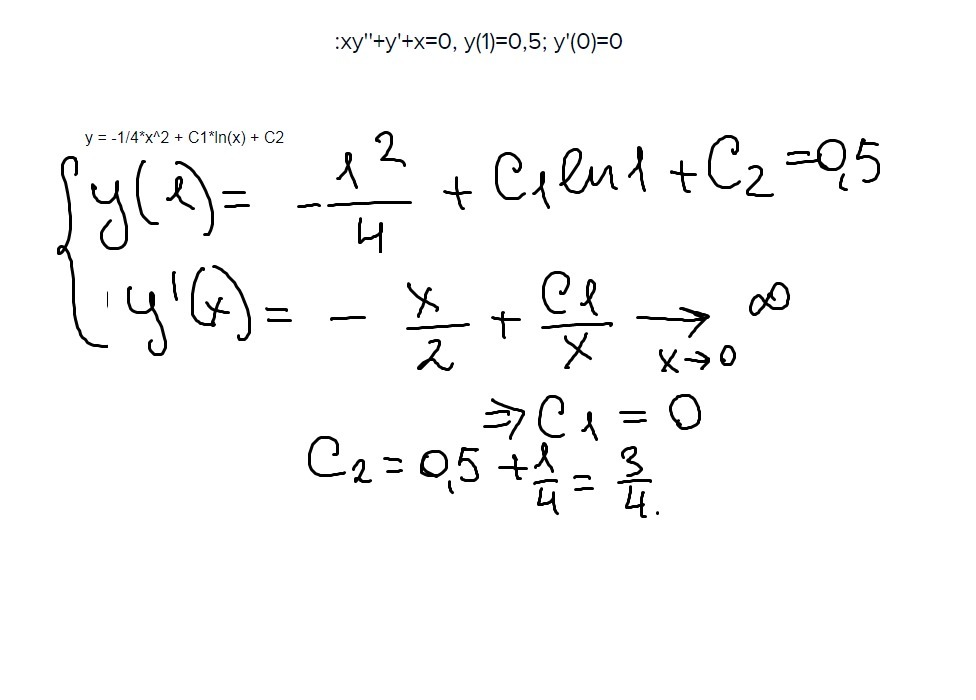
x*y''+y' = d/dx (x*y')
d/dx (x*y') = -x
x*y' = -1/2*x^2 + C1
y' = -1/2*x + C1/x
y = -1/4*x^2 + C1*ln(x) + C2
d/dx (x*y') = -x
x*y' = -1/2*x^2 + C1
y' = -1/2*x + C1/x
y = -1/4*x^2 + C1*ln(x) + C2
Приложения:
Вас заинтересует
2 года назад
2 года назад
3 года назад
3 года назад
9 лет назад
10 лет назад