• Предмет: Математика
  • Автор: lenka170
  • Вопрос задан 8 лет назад

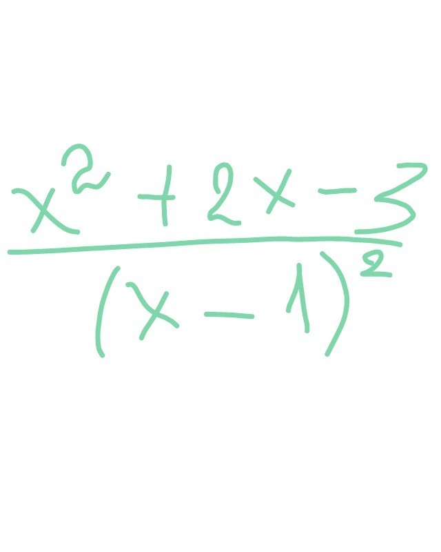
скоротити дріб!!!!!!!!!!!

Приложения:

Ответы

Ответ дал: МатематическийМозг
0
 frac{ x^{2}+2x-3}{(x-1)^{2}} = frac{(x+3)(x-1)}{(x-1)^{2}} = frac{(x+3)}{(x-1)}
Ответ дал: miron2077
0
(х²+2х-3)/(х-1)²=(х²+3х-х-3)/(х-1)²=(х(х+3)-(х+3))/(х-1)²=(х-1)(х+3)/(х-1)(х-1)=
=(х+3)/(х-1)
Вас заинтересует